Dławiki SN, WN i NN
Ochrona sieci i urządzeń elektroenergetycznych,
ograniczanie prądów zwarciowych. Kompensacja
mocy biernej pojemnościowej, tłumienie wyższych harmonicznych.
Taurus-Technic Sp. z o.o. posiada w swojej ofercie pełny zakres dławików powietrznych średnich (SN), wysokich (WN) i najwyższych napięć (NN). W tym zakresie współpracujemy ze światowym liderem firmą GE Vernova i jesteśmy Licencjonowany Partnerem Sprzedażowym tejże firmy.
GE Vernova ma ponad 50-letnie doświadczenie w projektowaniu i produkcji dławików z rdzeniem powietrznym (ACR) dla różnych segmentów rynku na całym świecie, w tym dla sieci wytwarzania energii, przemysłu i dystrybucji, zakładów przemysłowych i elektrycznych laboratoriów badawczych.
Dławiki ACR zapewniają liniową odpowiedź impedancji w stosunku do prądu, co jest niezbędne w wielu zastosowaniach. W stosunku do konstrukcji olejowych dławiki te posiadają zalety w postaci liniowej charakterystyki (brak saturacji), łatwości transportu (są lekkie) i montażu (brak konieczności budowania mis olejowych). Ponadto są praktycznie bezobsługowe w użytkowaniu ponieważ nie posiadają elementów ruchomych będąc przy tym urządzeniem przyjaznym dla środowiska (brak oleju).
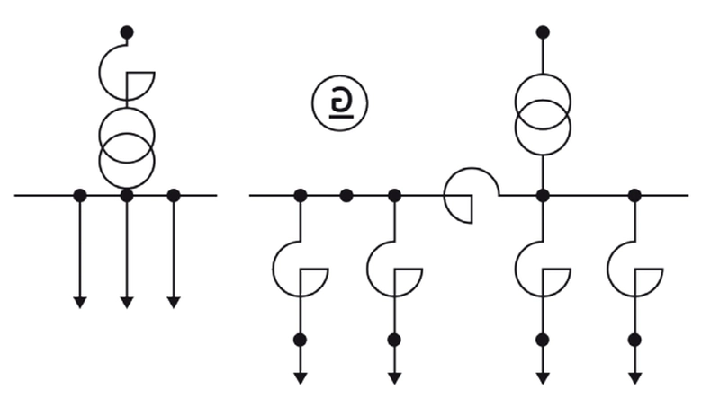
Oferta dławików powietrznych obejmuje następujące typy:
- Dławiki przeciwzwarciowe: Zaprojektowane w celu ograniczenia prądów zwarciowych do poziomów kompatybilnych z istniejącymi urządzeniami zabezpieczającymi/sterującymi.
- Dławiki uziemiające: Podłączone między punktem zerowym układu elektroenergetycznego a uziemieniem w celu ograniczenia prądu między fazą a ziemią do żądanej wartości w warunkach zwarcia doziemnego systemu.
- Dławiki filtrujące/blokujące: Zwykle połączone z kondensatorami i rezystorami w obwodach filtrujących w celu zmniejszenia zawartości harmonicznych w sieci, które powodują większe straty, wysokie prądy w przewodzie zerowym jak i zakłócenia w komputerach i sprzęcie telekomunikacyjnym, które są odpowiedzialne za wysoki poziom zakłóceń harmonicznych.
- Dławiki wygładzające: Redukcja prądów harmonicznych i przejściowych przetężeń (tętnień) w układach prądu stałego (DC).
- Dławiki kompensacyjne: służą do kompensacji mocy biernej indukcyjnej długich linii przesyłowych lub przewodach, umożliwiając przepływ większej ilości energii czynnej przez układ.
- Dławiki ograniczające prądy łączeniowe: Ograniczają prądy zwarciowe rozruchowe i zwarciowe wypływowe z baterii kondensatorów.
- Dławiki rozładowcze: Stosowane w obwodach obejściowych/rozładowania w układach kompensacji szeregowej w celu ograniczenia prądu rozładowania kondensatora.
- Dławiki szeregowe dla pieców łukowych: Zapewniają niezbędną korekcję współczynnika mocy i ograniczają niestabilny prąd i napięcie pieca łukowego.
- Dławiki sterujące przepływem mocy: Kontrolują prąd w dwóch lub więcej równoległych obwodach.
- Dławiki rozruchowe dla silników: Połączone szeregowo z silnikiem w celu ograniczenia prądu rozruchowego podczas rozruchu silnika.


Dławiki przeciwzwarciowe
Dławik tego typu jest włączony szeregowo w linię przesyłową lub zasilanie w celu ograniczenia prądu w warunkach awarii systemu do poziomów zgodnych z zabezpieczeniem obwodu. Jest to bardzo ekonomiczne rozwiązanie, eliminujące konieczność modernizacji całego systemu łączeniowo-zabezpieczeniowego w przypadku zwiększenia mocy zwarciowej systemu. Ten dławik został zaprojektowany tak, aby zapewnić określoną impedancję i wytrzymać prądy znamionowe i zwarciowe (krótkotrwałe) w określonym czasie.
Dławiki uziemiające
Ten jednofazowy dławik służy do uziemienia punktu neutralnego sieci trójfazowych w celu ograniczenia prądu w przypadku zwarcia między fazą a ziemią. Jeśli obwód jest idealnie zrównoważony, wynikowy przepływ prądu przez dławik będzie wynosił zero i nie będzie żadnych strat.
Dławiki wygładzające
Dławiki wygładzające służą do redukcji prądów harmonicznych i przejściowych przetężeń w układach prądu stałego. Są one stosowane w łączach średniego napięcia prądu stałego (HVDC) oraz w zastosowaniach przemysłowych, takich jak prostowniki, sieci trakcyjne itp.

Dławiki tłumiące
Prądy harmoniczne to zniekształcenia wprowadzane do sieci w wyniku pracy urządzeń elektroenergetycznych, dużych maszyn indukcyjnych itp. Prądy harmoniczne powodują wiele problemów w sieci, takich jak np:
- Większe straty
- Nieprawidłowo działające systemy sterowania
- Wysokie prądy w przewodzie zerowym
- Zakłócenia w działaniu komputerów
- Zakłócenia w sprzęcie telekomunikacyjnym.
Dławiki filtrujące harmoniczne, w połączeniu z jednostkami kondensatorów i czasami rezystorami, tworzą obwód filtrujący dostrojony do określonej częstotliwości (częstotliwości rezonansowej) w celu zmniejszenia, zablokowania lub zapewnienia ścieżki o niskiej impedancji dla prądów harmonicznych w zakresie danej częstotliwości. Są one połączone równolegle lub szeregowo.
Filtry harmonicznych są zwykle instalowane w podstacjach, w statycznych kompensatorach mocy biernej (SVC) oraz w przyłączach wysokiego napięcia prądu stałego HVDC. Dławiki są zaprojektowane tak, aby spełniały określone kryteria projektowe, takie jak współczynnik jakości, tolerancja indukcyjności między fazami oraz samego dławika.
Specjalne wymagania dotyczące niskiego współczynnika Q można spełnić za pomocą zintegrowanego obwodu tłumiącego.

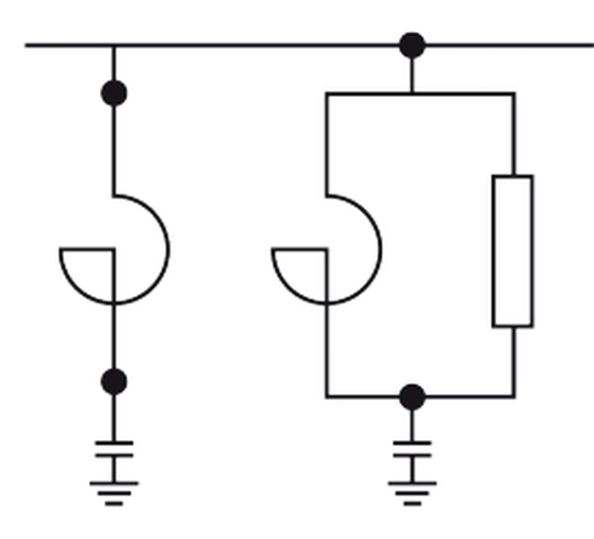
Dławiki kompensacyjne
Dławiki te są używane w konfiguracji równoległej do kompensacji prądów pojemnościowych długich linii przesyłowych lub przewodów. Dzięki temu umożliwiają przepływ większej energii czynnej przez układ. W sytuacji niskiego obciążenia dławiki kompensacyjne mogą być stosowane w celu zmniejszenia wzrostu napięcia spowodowanego pojemnością linii przesyłowej, a tym samym zmniejszenia strat z powodu wyładowań koronowych. W wielu instalacjach dławiki są podłączone do uzwojenia trzeciego transformatora średniego napięcia.
Dławiki tłumiące
Dławik ten jest połączony szeregowo z jedną lub kilkoma bateriami kondensatorów, aby ograniczyć prądy rozruchowe, które występują podczas ich załączania. Został zaprojektowany tak, aby oferować określoną impedancję i wytrzymywać prąd znamionowy i prąd zwarciowy w przypadku zwarcia w baterii kondensatorów związanego z prądem rozładowania o wysokiej częstotliwości.
Konstrukcja dławika z rdzeniem powietrznym
Uzwojenia dławików powietrznych GE Vernova składają się z wielu przewodów aluminiowych lub miedzianych połączonych równolegle. Przewody te mogą być izolowanymi pojedynczymi żyłami, izolowanymi przewodami lub profilami aluminiowymi oddzielonymi przekładkami dystansowymi z włókna szklanego.
W przypadku konstrukcji hermetyzowanej, przewodniki są mechanicznie unieruchamiane i otaczane włóknami z włókna szklanego impregnowanego żywicą epoksydową, tworząc cylindry. W zależności od wartości znamionowych dławika, jeden lub więcej z takich cylindrów jest połączonych równolegle między aluminiowymi lub miedzianymi belkami poprzecznymi tzw. pająkami. Poszczególne cylindry są oddzielone od siebie przekładkami z włókna szklanego tworzącymi kanały chłodzące.
Budowa dławika z rdzeniem powietrznym
- Uchwyt do podnoszenia
- Elementy dystansowe (kanały chłodzące)
- Belki poprzeczne (krzyżak)
- Zacisk
- Izolator
- Stopa podwyższająca (podstawa)
Podstawy
Podstawy dostarczone z dławikami utrzymują odstępy magnetyczne i elektryczne wymagane przez konstrukcję dławika w celu zminimalizowania strat indukowanych.
Obudowy
Na życzenie klienta możemy zaprojektować i dostarczyć dławiki z obudowami.
Odczepy
Dławiki mogą być dostarczane z odczepami do wymaganej indukcyjności.
Lokalizacja
Dławiki Grid Solutions nadają się zarówno do instalacji wewnętrznej, jak i zewnętrznej. Dławiki są często instalowane w istniejących podstacjach lub w celu zastąpienia istniejących dławików. Dławiki są zaprojektowane tak, aby pasowały do ograniczonej przestrzeni lub montażu bezpośrednio na istniejących fundamentach. Mogą być one również przeznaczone do stosowania wewnątrz obudów. W tym przypadku dławiki są zaprojektowane tak, aby uniknąć nadmiernego nagrzewania.

Układ montażowy
Dławiki mogą być montowane pojedynczo jako jednostki jednofazowe, w układzie obok siebie lub jako kolumny trójfazowe – jedna cewka na drugiej. W przypadku ograniczeń przestrzennych możliwe jest również zastosowanie specjalnych rozwiązań montażowych. Rysunek 1 poniżej ilustruje dostępne opcje.

Orientacja zacisków i układy otworów
Dławiki Grid Solutions są dostarczane z płaskimi zaciskami aluminiowymi lub miedzianymi NEMA lub IEC. Zaciski o innych normach mogą być dostarczone na życzenie. Rysunek 2 pokazuje typowe orientacje zacisków i układy otworów. Inne orientacje zacisków i układy otworów mogą być dostarczone na życzenie. W przypadku złączy miedzianych można dostarczyć bimetaliczne interfejsy cynowane.

Malowanie
Po procesie utwardzania dławik jest starannie przygotowywany przed malowaniem wysokiej jakości lakierem, który zapewnia długotrwałą ochronę przed promieniowaniem UV. Typowe kolory to szary Munsell N6.5, ANSI 70, RAL 7037 i RAL 5024, ale można również zastosować inne kolory.
W przypadku silnie zanieczyszczonych środowisk stosuje się specjalny proces malowania (RTV), natomiast same dławiki mogą być wyposażone w pokrywę górną, aby ograniczyć niekorzystny wpływ zanieczyszczeń.


